副標題#e# 0引言
礦用隔爆型電氣設備用于煤礦井下,其隔爆性能是通過隔爆外殼來實現的。隔爆外殼要承受1MPa試驗壓力,因此。必須具有足夠的強度和剛性.就使得科學合理的設計該類外殼在煤礦的安全生產中是至關重要的。
隔爆外殼必須具備如下基本特性:
(1)隔爆性,即殼內發生爆炸時,隔爆外殼應能有效地阻止內部的爆炸壓力向外殼周圍爆炸性混合物傳播;
(2)熱傳導性,即應保證正常運行和殼內發生爆炸時,外殼的表面溫度低于周圍介質的引燃溫度;
(3)耐爆性,要求外殼有足夠的強度和剛度來承受內腔的爆炸壓力,而不發生明顯的變形或破裂。
以往大多采用經驗或類比法進行設計,不能準確計算出各部分的受力情況,在設計時為安全起見,往往加大安全系數。這使得殼體結構笨重.并且具有很大的盲目性,浪費材料,增加了生產成本。
圓筒形隔爆外殼較方形結構具有受力均勻、結構簡單、殼體內結構緊湊等優點,現今小型隔爆型電氣設備大多采用這種圓筒形結構。
本文利用彈塑性力學理論對外殼進行初步設計,得出外殼的殼體壁厚、法蘭厚度等初始參數。再利用Solidworks軟件進行三維建模,然后在COSMOSworks軟件中進行有限元分析,根據分析結果對殼體進行改進,收到了滿意的效果。
1圓筒形隔爆外殼的強度、剛度設計
根據爆炸性氣體環境用電氣設備國家標準(GB 3836.2-2000),含有瓦斯的爆炸性氣體混合物爆炸時的最大壓力,一般在0.8 MPa左右。爆炸外殼失效主要是強度不足和剛度不足造成的。
1.1強度設計
圓筒形隔爆外殼由圓筒形殼壁、殼底、法蘭和殼蓋組成。如圖l所示。
1.1.1圓筒形殼壁的強度設計
隔爆外殼的圓筒形壁厚一般取t=3~6 mm,內徑D1=200~700 mm,工業中薄壁容器規定t/D=0.05,因此,圓筒形殼壁屬薄壁容器范疇。根據彈性力學薄壁圓筒理論可知,
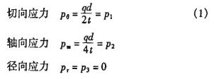
在薄壁圓筒結構中。在相對于P1、P2的第三個方向上作用于內壁的內壓力q和外壁上的大氣壓力都遠小于P1、P2(可以認為是零)。主應力為p1、P2、P3,且PI>p2>p3,根據第四強度理論的強度條件,有
把平均直徑代入式D=Da+t(3)得薄壁圓筒的壁厚理論值
考慮到外殼在實際加工過程中焊縫對強度的削弱,鋼板負公差、圓筒在卷圓過程中工藝減薄量和腐蝕等因素對強度的影響,薄壁圓殼的實際壁厚為
1.1.2殼底和殼蓋的強度設計
球形殼底在圓筒形防爆外殼上應用較廣.它由球冠沖壓鋼板成型,而后與簡體焊接。所受的力如圖1所示。據薄壁球殼理論可知,球殼的徑向應力和切向應力為
同理,考慮加工過程中諸因素對殼底強度的影響。另外,由于殼底和法蘭兩者厚度相差較大,如果其連接斷面發生階梯性突變,將產生應力集中。也將影響殼底的強度,所以,球形端蓋(殼底)的實際壁厚為
礦用隔爆型電氣設備用于煤礦井下,其隔爆性能是通過隔爆外殼來實現的。隔爆外殼要承受1MPa試驗壓力,因此。必須具有足夠的強度和剛性.就使得科學合理的設計該類外殼在煤礦的安全生產中是至關重要的。
隔爆外殼必須具備如下基本特性:
(1)隔爆性,即殼內發生爆炸時,隔爆外殼應能有效地阻止內部的爆炸壓力向外殼周圍爆炸性混合物傳播;
(2)熱傳導性,即應保證正常運行和殼內發生爆炸時,外殼的表面溫度低于周圍介質的引燃溫度;
(3)耐爆性,要求外殼有足夠的強度和剛度來承受內腔的爆炸壓力,而不發生明顯的變形或破裂。
以往大多采用經驗或類比法進行設計,不能準確計算出各部分的受力情況,在設計時為安全起見,往往加大安全系數。這使得殼體結構笨重.并且具有很大的盲目性,浪費材料,增加了生產成本。
圓筒形隔爆外殼較方形結構具有受力均勻、結構簡單、殼體內結構緊湊等優點,現今小型隔爆型電氣設備大多采用這種圓筒形結構。
本文利用彈塑性力學理論對外殼進行初步設計,得出外殼的殼體壁厚、法蘭厚度等初始參數。再利用Solidworks軟件進行三維建模,然后在COSMOSworks軟件中進行有限元分析,根據分析結果對殼體進行改進,收到了滿意的效果。
1圓筒形隔爆外殼的強度、剛度設計
根據爆炸性氣體環境用電氣設備國家標準(GB 3836.2-2000),含有瓦斯的爆炸性氣體混合物爆炸時的最大壓力,一般在0.8 MPa左右。爆炸外殼失效主要是強度不足和剛度不足造成的。
1.1強度設計
圓筒形隔爆外殼由圓筒形殼壁、殼底、法蘭和殼蓋組成。如圖l所示。

1.1.1圓筒形殼壁的強度設計
隔爆外殼的圓筒形壁厚一般取t=3~6 mm,內徑D1=200~700 mm,工業中薄壁容器規定t/D=0.05,因此,圓筒形殼壁屬薄壁容器范疇。根據彈性力學薄壁圓筒理論可知,

在薄壁圓筒結構中。在相對于P1、P2的第三個方向上作用于內壁的內壓力q和外壁上的大氣壓力都遠小于P1、P2(可以認為是零)。主應力為p1、P2、P3,且PI>p2>p3,根據第四強度理論的強度條件,有

把平均直徑代入式D=Da+t(3)得薄壁圓筒的壁厚理論值

考慮到外殼在實際加工過程中焊縫對強度的削弱,鋼板負公差、圓筒在卷圓過程中工藝減薄量和腐蝕等因素對強度的影響,薄壁圓殼的實際壁厚為

1.1.2殼底和殼蓋的強度設計
球形殼底在圓筒形防爆外殼上應用較廣.它由球冠沖壓鋼板成型,而后與簡體焊接。所受的力如圖1所示。據薄壁球殼理論可知,球殼的徑向應力和切向應力為

同理,考慮加工過程中諸因素對殼底強度的影響。另外,由于殼底和法蘭兩者厚度相差較大,如果其連接斷面發生階梯性突變,將產生應力集中。也將影響殼底的強度,所以,球形端蓋(殼底)的實際壁厚為

相關文章
- 2021-08-30高等院校藝術設計案例教程中文版AutoCAD 建筑設計案例
- 2021-08-28計算機輔助設計與制造 21世紀全國應用型本科大機械系
- 2021-08-28計算機輔助設計與制造(CAD∕CAM)PDF下載
- 2021-08-27計算機輔助設計與制造 21世紀全國應用型本科大機械系
- 2021-08-27計算機輔助設計與制造(CAD∕CAM)PDF下載
- 2021-08-24經典技法118例AutoCAD 機械設計經典技法118例中文版_
- 2021-08-24經典實例學設計AutoCAD 2016從入門到精通 [李軻 編著]
- 2021-08-24精通AutoCAD 2013電氣設計 [李波 主編] 2013年PDF下載
- 2021-08-24精通AutoCAD 2013機械設計_李波,辛雄主編_2013PDF下載
- 2021-08-24精通AutoCAD 2013建筑設計 [劉冰 主編] 2013年PDF下載