1 引言
2 優化數學模型的建立
- 確定設計變量
- 在加工過程中,被加工工件的材料、加工要求、機床與刀具等一經確定,切削用量及切削液的選擇就成為影響目標函數的關鍵,故將切削用量和切削液作為設計變量,即切削用量n=x1,(f 或Vf、af)=x2,ap=x3,切削液為x4,則
X=[x1,x2,x3,x4]T=[n,(f或Vf,af),ap,切削液]T - 在加工過程中,被加工工件的材料、加工要求、機床與刀具等一經確定,切削用量及切削液的選擇就成為影響目標函數的關鍵,故將切削用量和切削液作為設計變量,即切削用量n=x1,(f 或Vf、af)=x2,ap=x3,切削液為x4,則
- 確定目標函數
- 為提高生產率,以單件工時tw最短為第一個目標函數f1(X),即
f1(X)=mintw=min(tm+tct+tot) 式中:tm——該工序的切削時間(min)(計算公式見機械工業出版社1994出版的艾興、肖詩綱所著《切削用量簡明手冊(第三版)》)- tct——換刀時間(min)(包括卸刀、裝刀及對刀時間)
- tot——除換刀外的其它輔助時間(min)
- 為提高經濟性,以單件工序成本C 最低為第二個目標函數f2 (X),即
f2(X)=minC=min(tmM+tctMtm/T+tmCt/T+totM) 式中:M——該工序單位時間內所分擔的工廠開支(元/min)- Ct——在刀具耐用度期間與刀具有關的費用(包括磨刀費及刀具折舊費)(元)
- T——刀具耐用度(min)
- 為合理利用資源,確定以下目標函數:
- 為減小切削加工所需功率,降低對電力資源的消耗,以切除單位體積金屬Zw所消耗的功率Pi最小為第三個目標函數f3(X),即
f3(X)=min(Pi/Zw)=min[(Pu+aPc)/ Zw] 式中:Pu——機床的空載功率(kW)(車床的Pu與n的關系見機械工業出版社1995出版的劉飛、徐宗俊等所著《機械加工系統能量特性及其應用》)- a——功率平衡方程系數,a=1.15~1.25
- Pc——加工過程中機床的切削功率(kW)(計算公式見機械工業出版社1994出版的艾興、肖詩綱所著《切削用量簡明手冊(第三版)》)
- Zw——單位時間內的金屬切除量(mm3/min)
- 為減小切削加工中的刀具磨損,降低對刀具資源的消耗,以加工時間內刀具磨損速率WR 最小為第四個目標函數f4(X),即
式中:WRA——刀具的機械磨損速率(計算公式見1995年11月的Journal of Materials Processing Technology上A A Munoz和P Sheng所著《An analytical approach for determining the environmental impact of machining processes》)WRD——刀具的熱化學磨損速率(計算公式見文獻同WRA)
#p#分頁標題#e#- 減少切削液消耗 加工過程中所需切削液包括覆蓋在切屑和工件上的切削液(m切屑、m工件)、汽化進入環境中的切削液(m汽化)及可循環使用的切削液( m循環),即切削液總量m=m切屑+m工件+m汽化+m循環,因m循環可循環使用,故減小式中前三部分之和(m切屑+m工件+m汽化)(計算公式見文獻同WRA)即可降低對切削液資源的消耗,故以(m切屑+m工件+m汽化)最小為第五個目標函數f5(X),即
f5(X)=min(m切屑+m工件+m汽化) - a——功率平衡方程系數,a=1.15~1.25
- 為減少環境污染,保護工人健康,確定以下目標函數:
- 降低機床噪聲 機床噪聲主要為機械結構產生的噪聲(尤其是齒輪、電機、軸承等產生的噪聲)。噪聲大小與其頻率有關,故以噪聲頻率最小為第六個目標函數f6(X)(相關計算見天津科學技術出版社1984出版的張策所著《機床噪聲——原理及控制》),即
f6(X)=min(nz/60+C) 式中:z——主軸齒輪齒數- C——固有頻率
- 減少切削液污染 附著在工件及切屑上的切削液會污染工作場地,并與揮發的切削液一樣具有一定毒性和易燃性,故以它們的加權質量mW最小為第七個目標函數f7(X),即
f7(X)=minmW 式中mW的計算方法見1995年11月的Journal of Materials Processing Technology上A A Munoz和P Sheng所著《An analytical approach for determining the environmental impact of machining processes》。
- tct——換刀時間(min)(包括卸刀、裝刀及對刀時間)
- 為提高生產率,以單件工時tw最短為第一個目標函數f1(X),即
- 確定約束條件在生產過程中,由于受加工設備、加工條件及工件質量要求等的限制,可供選擇的設計變量變化范圍是有限的,因此建立優化數學模型時必須考慮以下約束條件的限制:
- 背吃刀量:apmin≤ap≤apmax
- 機床轉速:nmin≤n≤nmax
- 機床進給量:fmin≤f≤fmax (銑削時:Vmin≤Vf≤Vmax)
- 機床有效功率:Pc-hPE≤0
式中:PE——主電機功率(kW)- h——機床效率
- 機床進給機構強度:Ff≤Fm
式中Ff——進給抗力(N)(計算公式見機械工業出版社1994出版的艾興、肖詩綱所著《切削用量簡明手冊(第三版)》)- Fm——機床允許最大進給抗力(N)
- 機床扭矩:Mc≤Mm
式中:Mc——扭矩(Nm)(計算公式見機械工業出版社1994出版的艾興、肖詩綱所著《切削用量簡明手冊(第三版)》)- Mm——機床允許最大扭矩(Nm)
- 刀具磨鈍標準:

式中T——刀具耐用度(min)(計算公式見機械工業出版社1994出版的艾興、肖詩綱所著《切削用量簡明手冊(第三版)》) - 工件加工表面粗糙度:Ramin≤Ra≤Ramax#p#分頁標題#e#
式中Ra——切削加工表面粗糙度(µm)
- 如有必要,還可將對生產率的要求降為約束條件。以上約束條件僅為一般機加工時應考慮的常規條件。對于各種不同的加工方式,往往還需根據實際加工情況增加一些其它約束條件,以保證加工要求的實現。
- 建立優化數學模型
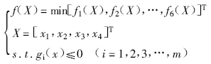
- 綜上所述,可建立機械制造典型加工工藝的優化數學模型為

- 綜上所述,可建立機械制造典型加工工藝的優化數學模型為
3 多目標函數的優化設計方法
4 優化數學模型應用實例
相關文章
- 2021-09-08BIM技術叢書Revit軟件應用系列Autodesk Revit族詳解 [
- 2021-09-08全國專業技術人員計算機應用能力考試用書 AutoCAD2004
- 2021-09-08EXCEL在工作中的應用 制表、數據處理及宏應用PDF下載
- 2021-08-30從零開始AutoCAD 2014中文版機械制圖基礎培訓教程 [李
- 2021-08-30從零開始AutoCAD 2014中文版建筑制圖基礎培訓教程 [朱
- 2021-08-30電氣CAD實例教程AutoCAD 2010中文版 [左昉 等編著] 20
- 2021-08-30電影風暴2:Maya影像實拍與三維合成攻略PDF下載
- 2021-08-30高等院校藝術設計案例教程中文版AutoCAD 建筑設計案例
- 2021-08-29環境藝術制圖AutoCAD [徐幼光 編著] 2013年PDF下載
- 2021-08-29機械AutoCAD 項目教程 第3版 [繆希偉 主編] 2012年PDF
