隨著CIM(計算機集成制造)的概念廣為工業界所接受,企業集成正從信息集成走向過程集少成,迫切需要一種科學、統一的規范來描述、建立CAD標準件庫,以確保CAD標準件庫的可移植性,以及在企業內部、企業之間標準件庫的信息交換與共享。
IS013584就是這樣一個關于計算機可解釋的、標準件庫數據的表示和交換國際標準。其目的是提供一種能夠傳遞標準件庫數據、且獨立于使用標準件庫應用系統的中性機制。這種描述的本質使得它不僅適合于零件庫信息的中性文件的交換,也是實現和共享零件庫數據的基礎。為此開發符合IS013584標準的標準件庫具有重要的意義。
由于螺紋是許多標準件中的主體,因此螺紋實體模型的實現便成了開發標準件庫的重點之一。螺紋簡單的看是三角形、矩形等平面圖形沿著螺旋線運動的軌跡,但是在CAD開發語言中并沒有此類的功能函數實現一平面域沿著路徑進行掃描形成螺紋,有方法介紹用螺紋橫斷面的平面圖形沿著圓柱螺旋線拉伸而形成螺紋,但是拉伸的結果螺紋發生了翻轉,也有利用多線段拉伸的方法來實現螺紋建模,但是由于拉伸的方向始終是變化的,所拉伸的平面也要隨著變化,而目平面對于有限的某段線段是垂直關系,這是非常難以控制的。另外造型時間太長,并不能取得理想的效果。
作者依據IS013584標準,構造了螺紋的中性程序,以UG為CAD平臺,編寫了由中性語言轉換成計算機語言的編譯程序,提出了一個交互式的構造螺紋模型的算法,用三維曲面進行參數化模擬螺紋,取得了良好的效果。
1 UG/OPEN GRIP和零件數據交換
Unigraphics(簡稱UG)軟件是目前國際、國內應用廣泛的CAD/CAM/CAE集成化的三維參數化軟件,具有強大的建模、分析和加工功能。UG/OPEN GRIP是UG提供的一次開發語言模塊,也具有外部高級開發語言的接口。UG/OPENGRIP具有簡單、易學、易用的特點,用來創建類似FORTRAN一樣的程序,與Unigraphics系統緊密集成。利用GRIP程序,可以完成與Unigraphics的各種交互操作。UG/OPEN GRIP還能擴大 UG在專業上的應用范圍;以及建立標準零件庫和通用零件庫等。基于UG/OPEN GRIP的以上特點和適用范圍,開發基于UG的客戶端零件庫數據交換接口軟件具有可行性和實用性,所開發的客戶端數據接口應符合ISO 13584-31零件庫幾何編程接口標準。
建立符合IS013584標準的零件庫,首先要依據ISO 13584-31提供的接口函數,通過FORTRAN語言聯編,構成中性文件,傳遞到具體的CAD系統中進行自動建模。
其工作原理如圖1所示。
IS013584接口程序是依據13584-31中的幾何接口函數進行編寫的零件信息傳輸接口。首先根據ISO 13584-31提供的函數對標準零部件進行幾何中性程序的描述,然后通過C語言編寫的IS013584接口程序進行編譯、聯接,生成目標GRIP程序,經編譯、鏈接,送入UG CAD系統實現自動建模。

圖1.數據傳遞工作原理圖
2 螺紋的三維實體模型
2.1 螺紋實體的構成
螺紋構件可以看成是光桿圓柱和螺紋的組合體,光桿圓柱很容易實現,螺紋表面可以看成是平面和規則螺旋面的組合體。三角形螺紋是由起點平面、終點平面、兩個傾斜方向的螺旋平面和一個螺旋形圓柱面縫合而成,矩形螺紋則可以看成是起點平面、終點平面、兩個直螺旋平面和兩個螺旋形圓柱面縫合成,其他形狀的依次類推。斜螺旋面和直螺旋面均為直紋曲面,都是由兩條圓柱螺旋線作為導線的,兩條導線分別是位于螺紋內徑所在的圓柱面上的圓柱螺旋線和位于螺紋外徑所在圓柱面上的圓柱螺旋線;螺旋形圓柱面的兩條導線則均位于螺紋外徑所在的圓柱面上。
2.2 螺紋參數的說明
為了設計程序方便,在編寫時特作了如下簡化。
(1)螺紋直徑。對于螺紋的直徑參數,沿用《機械制圖》國家標準的規定:d1=0.85d,D1=0.85D。式中D, d分別為內、外螺紋的大徑,Dl, dl分別為內、外螺紋的小徑。
(2)螺距。暫目考慮普通螺紋公稱直徑第一系列中的粗牙螺紋對應的螺距。
(3)螺紋的其他要素。螺紋線數按單線,旋向按右旋
2.3 圓柱螺旋線的生成
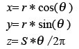
圓柱螺旋線是三維空間曲線,其生成原理是一動點繞著圓柱體作勻速圓周運動,同時沿著軸線作勻速上升運動。運動軌跡方程如下
參數方程中,r為圓柱的半徑,θ為螺旋線升角,其范圍是(-∞,+∞), s為導程(母線轉動一周,動點沿軸向移動的距離)。
螺旋線的生成可以是空間多線段連接起來,但是會形成曲折路徑,作者采用B樣條曲線進行擬合得到光滑過渡的螺旋線。
螺旋升角 θ=N *360*t
這里選擇的參數變量為t, t的取值范圍(0,1);
螺紋的圈數 N=HlS
N為螺紋的圈數,H為螺紋高度,S為螺距
(單線螺紋時,螺距=導程,所以這里就用同一個S表示)。
由于采取了B樣條曲線來擬合螺旋線,得到的螺旋線會很平滑,因此曲線上點的個數取到100個即可,則每個螺距上的點數n1=100*S/H。
按照dt=0.01, dh=S/nl的增量來確定空間點的坐標
x= r * cos(N *360*t)
y= r * sin(N *360*t)
z= z +dh
式中t=t+ dt,t在(0,1)之間遞增,z的最大值為螺紋高度H。
繪制三角形螺紋,需要在起始三角形的3個頂點處繪制3條圓柱螺旋線,其節距等于螺距,高度等于螺紋的高度。
2.4 螺紋牙型斷面的生成
以普通螺紋(牙型角=60)為例。其牙型斷面為圖2所示的等邊三角形。按照螺紋內徑d1= 0.85 * d(D)的關系,計算出三角形3個點的絕對坐標為:A(0.5d,0,0),B(0.425d,0.0433d,0),C(0.425d,-0.04331,0)。
據此可構造出螺紋的牙型端面。

圖2.螺紋牙型斷
3 程序框圖和GRIP程序代碼
以UG為平臺建立標準件庫,需要通過接口程序將中性圖形程序轉變為在UG中可以識別的GRIP程序,進而在UG中進行建立實體模型。
(1)程序框圖
程序框圖如圖3所示。

圖3 程序框圖
(2)程序代碼
以下介紹實現螺紋實體模型的G RIP程序。
$$定義實體
ENTITY/spln(4),p(100),q(100),O(100),ul,vl,u2,v2,
$
lin1,lin2,lin3,lin4,lin5,lin6,fltl,flt2,flt3,$
f1t4,f1t5,flt
NUMBER/matl(12),mat2(12)
t=0
i=0.01
j=1
$$輸入參數
L1:
param/enter params of thread,$
公稱直徑D,d,$
螺距S,s,$
螺紋高度H,h,resp
JUMP/L1:,L20:,RESP
$$計算其他參數
n1=100*s/h
dh=s/n1
n=h/s
rl=d/2
r2=0.85 *rl
z=0
$$執行循環,繪制點
DO/L10:,t,0,I,I
alpha=n * 360* t
z=z+dh
if/z>h,z=h
p(j)=POINT/r1 * cosf(alpha),r1 * sinf(alpha),z
q(j)=POINT/r2 * cosf(alpha),r2* sinf(alpha),z
blank/p(j)
blank/q(j)
j=j+1
L10:
$$通過樣條曲線繪制螺旋線
SPLN(1)=SPLINE/p
SPLN(2)=SPLINE/q
matl=MATRIX/TRANSL,0,0,0.0433*d
matt=MATRIX/TRANSL,0,0,-0.0433*d
SPLN(3)=TRANSF/mat1,SPLN(2)
SPLN(4)=TRANS F/mat2,SPLN(2)
ul=TRANSF/matl,q(1)
vl=TRANSF/mat2,q(1)
u2=TRANS F/matl,q(100)
v2=TRANS F/mat2,q(100)
linl=line/p(1),ul
lint=line/ul,v1
lin3=line/vl,p(1)
lin4=line/p(100),u2
lin5=line/u2,v2
lin6=line/v2,p(100)
$$得到直紋曲面
fltl=RLDSRF/SPLN(1),p(1),SPLN(3),ul
flt2=RLDSRF/SPLN(1),p(1),SPLN(4),vl
flt3=RLDSRF/SPLN(3),u1,SPLN(4),vl
$$得到有界平面
flt4=BPLANE/linl,lin2,lin3
f1t5=BPLANE/lin4,lin5,lin6
$$縫合得到螺紋實體
flt=sew/f1t1,f1t2,f1t3,f1t4,f1t5
blank/SPLN,ul,vl,u2,v2
blank/linl,lin2,lin3,lin4,lin5,lin6
L20:
HALT
(3)程序代碼的實現實例
圖4為交互輸入螺紋參數對話框,圖5為生成的螺紋實體模型。
說明:以普通螺紋為例,遵循公稱直徑與螺距的對應關系輸入參數,則可得到螺紋的實體模型。
本程序在Unigraphics NX 2.0中調試通過。

圖4.參數化螺紋對話框

圖5.螺紋實體模型
4 結論
螺紋實體模型的實現,對于建立基于IS013584標準的標準零件庫具有重要的意義,它不僅對標準件庫進行了完善,而目極大地豐富了標準件庫的內容,其中模型建立的思想,不僅適用于開發標準件庫,而目對于在UG下進行其他建模提供了參考。
相關文章
- 2021-09-08全國專業技術人員計算機應用能力考試用書 AutoCAD2004
- 2021-05-28常用零部件的AutoCAD二維參數化繪圖技術(上冊)PDF下載
- 2021-05-27常用零部件的AutoCAD二維參數化繪圖技術(上冊)PDF下載
- 2021-05-25高等學校計算機應用規劃教材 AutoCAD機械制圖應用教程
- 2020-12-24AutoCAD 2004 制圖軟件 全國專業技術人員計算機應用能
- 2013-06-14氣力輸送用螺旋泵總圖免費下載
- 2013-06-058m螺旋輸送機制作圖免費下載
- 2013-05-24六角頭螺栓M6圖紙免費下載
- 2013-04-18開啟式、全封閉、整體型螺桿壓縮機的CAD圖紙
- 2013-04-18半封閉螺桿壓縮機總圖免費下載