3 分析與比較
3.1 壓環剛度對比分析
為了增加壓環的剛度,必須縮短其單根長度,這樣就需要將壓環截為更多段。我們針對3段到16段中能夠被360度除盡的段數進行了模態分析及靜力分析,因為這些樣本在加工中較易實現。力圖通過分析剛度比及靜位移量曲線圖,從剛度和抗變形能力兩方面來找出壓環的優化分段方式。
3.1.1 模態分析
此次模態分析使用cosmos軟件作為求解器,材料取普通碳鋼,其主要參數為:彈性模量210GPa、泊松比0.28、密度7800Kg/m3。由于壓環的應力釋放和變形主要是在螺釘卸除后的自由狀態發生,且都為徑向彎曲變形。為了使各段模態振型一致(徑向彎曲振型),便于比較,采用約束模態方式針對3段、4段、5段、6段、8段、9段、10段、12段、15段、16段共10個工況計算其一階模態,約束狀態模擬端部螺釘緊固其余螺釘松開的情況,即限制每段壓環端部的三個平動以及底部的軸向平動。經求解3段方式一階振型及頻率見圖11,各段方式一階頻率及與3段方式質量比見表1。

圖11:3段方式剛度
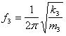
在模態分析中,設壓環無其它類型振動的參與,理想化為簡諧振動。簡諧振動頻率計算公式[2]如下:
(1)
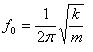
式中k為剛度、m為質量、f0為固有頻率。設3段方式固有頻率為f3,剛度為k3,質量為m3;其余各段固有頻率為fn,剛度為kn,質量為mn。
將f3、k3、m3代入式(1)得:
(2)
將fn、kn、mn代入式(1)得:
(3)
將式(2)除以式(3)得:
(4)
將表1帶入式(4),可得各段與3段方式的剛度比,見表2。

將表2數據做成散點折線圖,見圖12。

圖12:各段剛度比散點折線圖
3.1.2 靜力分析
靜力分析力圖模擬在徑向回復力的作用下,各段壓環的位移情況。影響壓環回復力大小的因素很多,如切削方式、截斷情況、熱處理條件等。每段回復力的具體數值是無法通過計算求出的,因此只能通過假設進行定性分析,為每段壓環的自由端面施加1000N的徑向力,約束方式與模態分析相同,計算自由端在相同受力情況下的最大位移量,并作趨勢分析。經求解3段方式靜位移量見圖13,各段方式靜位移量見表3。

圖13:3段方式位移量

將表3數據做成散點折線圖,見圖14。

圖14:各段位移量散點折線圖
相關文章
- 2021-08-03Autodesk RevitStructure2012應用寶典 [歐特克軟件(中
- 2021-08-02Autodesk RevitMEP2012應用寶典 [歐特克軟件(中國)有限
- 2021-08-02Autodesk Revit2013族達人速成 [歐特克軟件(中國)有限公
- 2021-07-31Autodesk Revit2012族達人速成 [歐特克軟件(中國)有限公
- 2021-07-23AutoCAD 機械設計生產一線實用案例詳解2013中文版_北
- 2021-07-23AutoCAD 機械設計入門與提高2014版 [北京兆迪科技有限
- 2021-07-23AutoCAD 機械設計經典教程2013中文版_北京兆迪科技有
- 2021-07-21AutoCAD 機械零部件設計經典范例2014版 [北京兆迪科技
- 2021-07-12AUTODESKREVIT2014五天建筑達人速成 [歐特克軟件(中國)
- 2016-01-07天馬三層別墅施工圖 含所有立面和大樣圖下載