0 前言
泥漿泵是絞吸式挖泥船的核心設備,蝸殼是泥漿泵的重要組成部分,良好的蝸殼可以為導向噴嘴提供周向均勻的參數分布,減小固液兩相流對葉輪葉片的沖擊,延長其使用壽命。本文的中心內容是設計渦室,然后利用SolidWorks實體造型軟件繪出泥漿泵渦殼圖,最后輸出工程圖。
1 渦室的水力設計
1.1 渦室的作用
(1)收集從葉輪中流出的液體,并輸送到排除口或下一級葉輪吸人口。
(2)保證流出葉輪的流動是軸對稱的,從而使葉輪具有穩定的相對運動,以減少葉輪的水利損失。
(3)降低液流速度,使速度能轉換成壓能。
(4)消除液體從葉輪流出的旋轉運動,以避免由此造成的水力損失。
1.2 渦室主要結構參數的確定
吸水室位于葉輪之前,壓水室位于葉輪之后,它們和葉輪一起構成泵的過流部件。通常說的壓水室是螺旋形壓水室,環形壓水室和導葉等的總稱。因為流出葉輪的液體,其絕對速度很大,且具有很大的旋轉分量。但液體通過壓水室后,絕對速度變小,旋轉分量等于零或是很小的值,因而壓水室是轉換能量的過流部件。
當液體從葉輪流出后,進人 2個平行的平板之間,當忽略液體的勃性摩擦力,這種液流不受任何外力作用,因而遵從速度矩保持定理。因此,壓水室的形狀,最好按這種流動規律來設計。
(1)基圓直徑D3
切于隔舌頭部的圓成為基圓,要使基圓直徑稍大于葉輪外徑,從而使隔舌與葉輪間有適當的間隙,如果該間隙過小,容易因液流堵塞而引起噪聲和振動。但如果間隙過大,除增加徑向尺寸外,因間隙處存在旋轉的液流環,消耗一定的能量,間隙越大,泵的效率下降越多,因此,通常取D3=(1.03~1.05)*D2,即
D3=1.05D2=391mm
(2)渦室進口寬度b3
b3通常大于包括前后蓋板的葉輪寬度 b3,至少要有一定間隙,以補償葉輪的串動和制造誤差。目前,有些渦室的b3取得相當寬,這樣,使葉輪前后蓋板帶動旋轉的液體可以順暢地進人壓水室,從而回收一部分圓盤摩擦功率,提高了泵的效率,另外,可適應不同寬度的葉輪,提高產品的通用性。在通常情況下
B2=b2+4=153mm
b3=B2+7=160mm
1.3 渦室的幾何繪圖
為了便于計算和繪圖,渦室通常取8個彼此成45°的斷面,即用8個軸面切割渦室。設計時先計算第VIII斷面,其他斷面以第VIII斷面為基礎進行確定。采用速度系數法進行設計。事實上,速度系數法是一種廣義的相似換算法,它是根據統計的性能良好的速度系數進行設計,和葉輪速度系數法類似。渦室斷面的平均速度
![]()
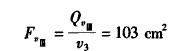
通過第VIII斷面的流量
![]()
第VIII斷面的面積

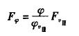
其他斷面的面積,按渦室各斷面速度相等確定

表 1為渦形體各斷面面積。

在本次設計中,此泵采用矩形渦室,因此,渦室寬度 b為常數。
渦室各斷面的半徑如表2。

根據渦室的斷面面積以及各斷面的半徑值,可以繪制出圖 1。

用傳統的方法繪制泥漿泵葉輪圖比較繁瑣,不僅要計算大量的數據,而且要繪制大量的圖紙,尤其工作輪廓面是空間不可展曲面,數學模型極其復雜,很難用常規的機械制圖方法繪制。在這種情況下,借助于計算機進行輔助設計就比較方便。在三維造型軟件中,SohdWorks的功能比較強大,操作比較簡潔。本次設計選擇 solidwokrs進行二次開發,提高了產品的設計效率和所建三維模型的精度,為以后的零件加工和分析提供了重要的原始數據和數控編程依據。渦殼的三維結構如圖2所示。在裝配體中的位置可通過爆炸圖顯示,如圖3所示(按爆破方向為:密封蓋-前蓋板-密封圈-傳動軸-葉輪-渦殼),為方便企業中使用,也可以生成工程三視圖,如圖4所示。

2 結語
本文給出了離心式泥漿泵渦殼的水力設計各參數的選取和計算方法,并用SolidWorks實體造型軟件繪出泥漿泵渦殼圖,輸出了工程圖,為泥漿泵的設計提供了可靠支持。