前言
組合機床多軸箱通常采用一根動力軸帶動多根主軸的工作方式,由于各傳動軸必須在有限的箱體空間內得到適宜的分布位置并避免干涉,且各軸的設計又必須保證其轉速、轉向、強度和剛度,因此多軸箱設計難度大、周期長,往往成為組合機床設計的瓶頸,改變這一局面的措施是采用計算機輔助模塊化設計。模塊化設計是一種標準化、組合化設計,它不是面向某一具體產品,而是面向某一類產品系統以至有相似功能的相鄰產品系統,它不必對每種產品施以單獨設計,而是精心設計出多種模塊,用巧妙、靈活而多變的方式組合出多樣化的產品。為此,我們開發了支持模塊化設計的組合機床CAD系統,將CAD技術和模塊化設計方法用于組合機床多軸箱的設計,不僅可以縮短多軸箱的設計和制造周期,降低成本,而且有助于保證多軸箱的質量,增強企業的競爭能力。
1系統開發環境與模塊劃分
目前國內機械產品的研發正逐步由以AutoCAD為代表的二維繪圖軟件轉向以UG,Pro/E,SolidWorks為代表的三維設計軟件。組合機床多軸箱三維CAD系統選擇三維設計軟件Unigaphics(簡稱UG)為軟件開發平臺,采用了UG/OPENAPI接口,Visualstudio.net編譯環境,Windows2000/XP操作系統,利用UG快速、靈活、方便的三維參數化造型功能,保證系統順利進行設計。
模塊是產品、自然物或其混合物中,具有特定功能的基本單元,它具有標準化、系列化、互換性等特點。模塊化設計是在對一定范圍內的不同功能或相同功能不同性能、不同規格的產品進行功能分析的基礎上,劃分并設計出一系列功能模塊,通過模塊的選擇和組合可以構成不同的產品,以滿足市場的需求。在進行多軸箱模塊化設計時,首先要把多軸箱劃分成若干模塊,由于多軸箱的具體結構取決于被加工零件的具體要求,如孔的數量、形狀、分布位置以及被加工零件的數量等,因此它不屬于通用件。但通過對多軸箱的組成零件進行分類,可以實現多軸箱零件的通用化,例如,多軸箱的箱體和前后蓋是按輪廓尺寸和外形分類的;主軸按照用途分類,分為鉆孔類、鏜孔類、攻絲類等;齒輪則按照模數、齒數和孔徑分類等,利用這些通用化的零件可以配置成各種不同結構形式的多軸箱。
多軸箱的設計首先要采用基于裝配的特征建模法建立多軸箱的裝配模型,然后在這個模型中對零部件展開設計,多軸箱的設計主要包括多軸箱體的設計和傳動系統的設計,而傳動系統是由若干主軸、傳動軸和齒輪組成的。根據多軸箱的裝配層次,將多軸箱設計模塊分為3個子模塊,如圖1所示。多軸箱設計模塊在多軸箱總體裝配模型的平臺上,通過交互界面接受用戶輸入的設計數據。
圖1多軸箱設計模塊
2 多軸箱主要模塊設計
2.1多軸箱體設計模塊
多軸箱的通用箱體分為箱體、前、后、側蓋,多軸箱基本尺寸系列標準規定,名義尺寸用相應滑臺的滑鞍寬度表示,多軸箱體寬度和高度是根據配套滑臺的規格按規定的系列尺寸選擇,其結合面上聯接螺孔、定位銷及其位置與動力箱聯系尺寸相適應。
多軸箱設計模塊包括多軸箱參數化模型,保存多軸箱全部參數的數據庫以及主控程序。
多軸箱箱體的規格尺寸為寬度和高度,將這兩個尺寸設置為裝配層控制參數,在設計多軸箱參數化模型的時候,多軸箱箱體、前后、側蓋之間采用UG/WAVE技術保持部件之間的相關性。首先建立多軸箱箱體的模型,然后在設計后蓋、前蓋和側蓋的時候,引用箱體的邊以及螺孔WAVE鏈接圖形,這樣在更改箱體參數的時候,其它部件也會相應更新。
在設計多軸箱箱體時,要求用戶選擇多軸箱類型,多軸箱類型分為臥式和立式兩種,其區別在于前蓋的厚度,然后選擇箱體尺寸,在主控程序中,提供了所有多軸箱的箱體尺寸,避免了查表,便于選擇標準化多軸箱。將多軸箱的箱體尺寸作為查詢條件,在箱體參數數據庫中提取所有設計參數,并傳遞給圖形庫中的箱體三維模型,模型按照提供的參數更新后,用戶選擇保存,在需要的時候可以裝配到裝配件文件中,多軸箱設計流程如圖2所示。

圖2箱體設計流程圖
2.2齒輪設計模塊
齒輪設計模塊中提供了3種齒輪設計模型,單個齒輪三維設計模型,在設計軸時建立齒輪模型和組合基本傳動模型,現以組合基本傳動模型為例介紹齒輪設計模塊的創建情況。
根據傳動系統中齒輪間不同的嚙合方式,利用系統的交互建模方式,建立起常用的齒輪傳動裝配模型庫。組合機床多軸箱傳動系統中共有三種基本傳動模型:(1)同排一帶一、一帶二和一帶三;(2)異排一帶二;(3)異排一帶三。組合機床的傳動系統可由上述4種基本傳動模型組合而成。
基本傳動模型模塊包括圖形庫、數據庫和主控程序三部分。圖形庫包括全參數化的齒輪模型,數據庫中存放所有傳動軸和主軸的坐標,以便計算時調入,主控程序完成坐標計算、數據訪問以及模型更新等操作。在進行組合機床設計系統時,首先為每根傳動軸和主軸編號,并且將已知軸坐標存放在數據庫中;然后選擇需要的基本傳動模型,經過計算得出未知軸坐標并存放于數據庫,最后建立模型。
主控程序的主界面如圖3所示;程序流程如圖4所示

圖3齒輪傳動設計界面

圖4主控程序流程圖
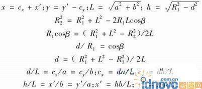
現以異排一帶二傳動模型為例說明其計算過程,異排一帶二即在一根傳動軸上用兩對齒輪分別帶動兩根已知軸,如圖5所示。已知O軸、A軸的坐標以及傳動齒輪的齒數和模數,B軸坐標的計算過程如下

圖5一帶二傳動模型計算
異排一帶二傳動計算程序界面如圖6所示。

圖6一帶二傳動計算程序界面
3 結束語
本文根據組合機床多軸箱總體方案和設計要求,劃分并設計了多軸箱的功能模塊,在三維軟件UG平臺上,利用其強大的三維造型功能和裝配功能,建立了多軸箱模塊的三維參數化模型。采用三維設計方法取代傳統的二維設計方法,使設計過程可視化,設計結果直觀明了,有利于提高設計質量。采用模塊化設計和三維CAD系統可極大地提高組合機床多軸箱的設計效率,提高產品的質量和壽命,保證產品開發的一次成功。
圖2箱體設計流程圖
相關文章
- 2021-09-08BIM技術叢書Revit軟件應用系列Autodesk Revit族詳解 [
- 2021-09-08全國專業技術人員計算機應用能力考試用書 AutoCAD2004
- 2021-09-08EXCEL在工作中的應用 制表、數據處理及宏應用PDF下載
- 2021-08-30從零開始AutoCAD 2014中文版機械制圖基礎培訓教程 [李
- 2021-08-30從零開始AutoCAD 2014中文版建筑制圖基礎培訓教程 [朱
- 2021-08-30電氣CAD實例教程AutoCAD 2010中文版 [左昉 等編著] 20
- 2021-08-30電影風暴2:Maya影像實拍與三維合成攻略PDF下載
- 2021-08-30高等院校藝術設計案例教程中文版AutoCAD 建筑設計案例
- 2021-08-29環境藝術制圖AutoCAD [徐幼光 編著] 2013年PDF下載
- 2021-08-29機械AutoCAD 項目教程 第3版 [繆希偉 主編] 2012年PDF