1 國內外發展現狀
在五軸機床中,3個移動軸和2個旋轉軸分別控制刀具相對加工表面的位移和指向。將此五軸按照不同順序串聯可獲得多種布局,其中兩旋轉軸直連正交的布局具有特殊優點:①符合運動學思維習慣;②與兩轉軸非直連結構相比,旋轉軸改變刀桿空間指向時,刀尖相對工件的位置偏移較小,減少了移動軸補償;③后置處理計算簡單,一般類似于球鏡刀半徑補償。該布局具體分為兩種:①兩旋轉軸共同驅動工件,即雙轉盤結構;②兩旋轉軸共同驅動刀具,其結構類似機械臂。前者的刀軸安裝簡單、剛性好,多用于機加工;而后者可獲得更高的轉角速度、更靈便,多用于激光切割等領域而被稱為導向頭。
導向頭的典型結構如圖1所示,旋轉軸C、A與刀軸T相交于同一點,光束經過4次90°反射,從該幾何交點射出,軸C和軸A分別控制刀具(或光束)的水平轉角和俯仰角α,其光路與字符Ω形似,暫命名為Ω結構,以便表述。
圖2是Ω結構的簡化版本,其應用也十分廣泛。因為縮短了光路,上述三軸無法相交于一點。其優點是結構簡單易于制造和安裝,并且光路損耗較小;缺點是后置處理比Ω結構復雜,加工曲面時,需要移動軸來補償圖中的偏心距LCA。同時,移動軸行程的利用率也被降低。

近年來,在激光切割領域處于領先地位的NTC(日平富山)和三菱等公司在其五軸激光加工系統中都采用了一種新型導向頭(如圖3),軸C按常規布置,另一旋轉軸φ與軸C成45°角相交,刀軸T繞軸φ 旋轉并與之保持45°。其光路與字符三形似,暫命名為∑結構?!平Y構在國內相關領域尚不多見,其新穎的設計帶來了許多優點,非常值得借鑒。

圖3 光束導向頭∑結構
2 ∑結構的運動學特性
如圖3和圖4,在∑結構中,軸C、軸φ和刀軸T相交于一點,并且在安裝時保證刀尖(或激光焦點)精確位于該幾何交點處。這就使得軸C和軸φ進行任意旋轉時,刀尖位置不會被改變,因而在五軸聯動過程中,加工軌跡的位置精度僅取決于三移動軸,而與兩旋轉軸元關。

通過與傳統的Ω結構進行比較正結構的優點在具體應用中主要體現在:
?、?由于三系統的位置控制獨立于轉角控制,其位置精度的可靠性更高,這一點對于激光切割等加工尤其重要。因為加工中位置精度不僅決定了軌跡生成,還關系到導向頭到工件表面的距離,這直接影響激光焦點和輔助吹氣氣嘴的位置,并最終影響切割質量,包括縫寬均勻性、切口平整性和背面掛渣狀況等。此外,這一點對機床的安裝和調試也十分有利。
?、?∑結構中各導軌行程得以完全利用,而Ω結構中移動軸的加工范圍通常小于其導軌行程。
例如,考察Ω導向頭加工圖4中半徑為R的半圓I-II-III-IV,其移動軸合成軌跡卻是半徑等于(R+Lr)的半圓(Lr為刀軸T的長度,圖4中Lr=MII),因而,能夠加工的最大工件半徑相比立結構減少了Lr(暫且不考慮Z軸的行程限制)。
③傳統的Ω導向頭與∑結構相比,對于同樣的加工對象,耗時和耗能更多,而且移動軸被迫以更高的速度運行,這對于半徑很小的圓弧(包括整圓)的加工尤為不利,分析如下。
目前激光切割通常采用吹氧輔助,為了實現切口平整、減少掛渣,切割速度較高,通常V≈15mm/s(薄板的對應速度更高)。在圖4中,設R=lOmm, Lr=295mm,由幾何關系可知,Ω導向頭加工該半圓時,移動軸合成線速度為:
VΩ=(Lr + R)V/R=450 mm/s
該速度超過了一般機床的移動軸速度極限,多軸聯動時該速度對各移動軸的動態特性也有很苛刻的要求,無形之中增加了機床的硬件成本,而∑結構則避免了該問題。
④立結構應用于機床的示教編程時特別方便。示教編程已經逐漸成為多軸加工機的必備功能,它可以在沒有零件3D模型時,實現迅捷加工。示教編程時,一般只需獲得移動軸坐標,基于移動軸坐標進行曲面重構之后,再可得到旋轉軸坐標。
在曲面的任意點位上,∑系統均可直接獲取移動軸坐標,而Ω結構則必須進行刀具半徑補償的逆運算。另外,示教時需要在各個點位上手動對刀,調整刀尖(或測頭尖端)位置剛好與加工點接觸,并且調整刀軸盡量沿著曲面法向,操作十分麻煩。由于∑結構的移動軸和旋轉軸運動獨立,其示教工作的勞動強度要大大低于0 結構。固立結構的刀路數據后置處理。
由前述分析可知,在3個移動軸方面,∑結構不需要特別的后處理,CAM軟件基于零件3D模型生成的移動軸數據可直接用于后續加工,而Ω結構則需要進行后置處理,即在各移動軸原始數據上疊加對刀軸長度Lr的補償。
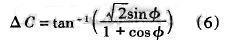
而在兩旋轉軸方面,情況卻相反?!平Y構需要額外地對水平轉角進行補償。這是因為軸φ在改變刀軸的俯仰角α時,也同時改變了刀軸的水平轉角θ,產生的附加水平轉角偏移為△c(見圖4),軸C必須對此偏移進行補償。具體分析如下。
圖4 中,輔助線IIs平行于X軸,M'和N'分別為M和N在軸C-軸φ平面內的投影。定義C為連桿JK繞軸C相對X軸正向的轉角。定義φ為連桿PM繞軸φ相對其初始位置PQ的轉角。點I處φ=O(點I處光路己省略),點W處φ=2n。定義曲面法矢的水平轉角θ為法矢(IIM)的水平投影(IIN)與X軸的夾角。定義曲面法矢的俯仰角α為法矢(IIM)與其水平投影(IIN)的夾角。
不失一般性,在點II處,現已知曲面法矢為IIM,其角度坐標為(θ,α),需求解軸C和軸φ的轉角位置(c,φ) 。
由圖中幾何關系可得,

轉角φ對水平轉角θ產生的附加偏移為△c,圖中對△c有如下關系:

在水平面SIIQ內可得軸C位置為:
C=θ+(-△c),其中,

φ- α和△c-α的關系曲線如圖5所示,φ-α曲線十分光順,無奇異點,曲線整體上與斜率為2的直線接近,這些都有利于對刀軸矢量的控制。較為不利的是,曲線在起始段(α=0附近)斜率很大,此處對應φ軸的轉速很高,不過該情形在實際加工中較少碰到。△c-α曲線與之類似。

圖5
軸C 和軸φ在2Л范圍內旋轉時,∑結構的運動分解不唯一。例如圖4 中點II處,導向頭關于圓柱端面的鏡像,也能使得刀軸T與該點法矢匹配。具體的運動分解由CAM軟件根據加工類型定制,以提高加工效率。例如,對于水平面 (或接近水平)內的加工時,軸C允許2Л范圍旋轉,而軸φ限制在0-Л;加工圖4所示的拉伸曲面的截斷面時,軸φ允許2Л旋轉,而軸C在拉伸方向(圖4中圓柱軸向)附近作小范圍擺動。
3 結論
本文介紹了一種新穎的五軸加工導向頭,并結合實際應用分析了該結構的多種優點。在切削力很小(或為零)的激光加工、高速銳和坐標測量等領域,該導向頭結構均可獲得很好的應用。
相關文章
- 2021-09-08BIM技術叢書Revit軟件應用系列Autodesk Revit族詳解 [
- 2021-09-08全國專業技術人員計算機應用能力考試用書 AutoCAD2004
- 2021-09-08EXCEL在工作中的應用 制表、數據處理及宏應用PDF下載
- 2021-08-30從零開始AutoCAD 2014中文版機械制圖基礎培訓教程 [李
- 2021-08-30從零開始AutoCAD 2014中文版建筑制圖基礎培訓教程 [朱
- 2021-08-30電氣CAD實例教程AutoCAD 2010中文版 [左昉 等編著] 20
- 2021-08-30電影風暴2:Maya影像實拍與三維合成攻略PDF下載
- 2021-08-30高等院校藝術設計案例教程中文版AutoCAD 建筑設計案例
- 2021-08-29環境藝術制圖AutoCAD [徐幼光 編著] 2013年PDF下載
- 2021-08-29機械AutoCAD 項目教程 第3版 [繆希偉 主編] 2012年PDF